水泵揚程--安徽天耐泵閥機械有限公司
作者:admin 更新時間:2017-12-19 18:25:33
水泵的揚程, 水泵的揚程示意圖
水泵的揚程是指被輸送的液體從水泵的進口到水泵的出口所增加的能量,水泵的揚程用字母H表示,單位是mH2O,省略為m。
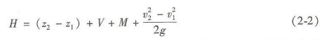
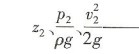
對于圖2-1所示的臥式離心泵抽水裝置,若以水泵軸線為基準面,泵運行時,單位重力的水在泵進口斷面處的總能量為
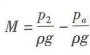
單位重力的水在泵出口斷面處的總能量為

根據揚程定義得
式中:
相應于水泵進口斷面1-1處的位置水頭、******壓力水頭、流速水頭,m;
相應于水泵進口斷面1-1處的位置水頭、******壓力水頭、流速水頭,m;
相應于水泵出口斷面2-2處的位置水頭、******壓力水頭、流速水頭,m。水泵的揚程示意圖如下:(下圖是一款臥式離心泵的水泵揚程示意圖)
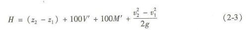
為了監視水泵的運行狀況,在泵進、出口斷面處分別安裝真空表、壓力表,如圖2-1所示。真空表、壓力表的讀數為相對壓力,設真空表的讀數為v(低于一個大氣壓的數值,即
),則公式(2-1)可寫成
真空表、壓力表的讀數單位為兆帕( MPa)時,將以兆帕表示的讀數V、M換算為米水柱(mH2O),則

由式(2-3)計算的揚程為水泵工作狀況時的揚程。水泵銘牌上所標出的揚程是這臺泵的設計揚程,即相應于通過設計流量時的揚程,又稱額定揚程。
從圖2-1可清楚地看出揚程H與實際水泵的揚程H實是兩個不同的概念,前者為單位重力的液體從泵進出口能量增加的數值,后者為進、出水池水位差。顯然,泵揚程總是大于實際揚程。


